近日,汽车与交通学院的道路交通安全研究团队讲师巫诚诚在国际工程技术顶刊Sustainable Cities and Society(一区,IF=7.587)上发表题为“modeling the low-carbon behaviors’ development paths of freight enterprises based on a survey in Zhejiang, China”的研究性学术论文。

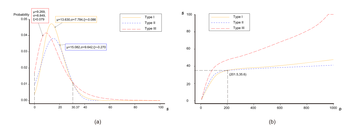
改善货运企业的低碳行为是降低公路行业碳排放、促进城市可持续发展的重要举措。该论文旨在建模研究,随着货运企业发展程度的变化,其低碳行为是如何变化的。论文在浙江省980家货运企业的问卷调查数据的基础上,采用K-means聚类方法和极值理论(EVT)进行不同类型货运企业发展路径的识别。研究结果显示:(1)低GDP区域的短途运输货运企业有最好的低碳发展程度(LCD),且当其LCD高于30.37时,有最高概率去采取新的低碳行为;(2)高GDP区域的货运企业,当其发展指数大于201.5时,有最低的意愿去采取新的低碳行为;研究结果有助于深入对货运企业在不同阶段的低碳发展路径的研究,并对政府在道路货物运输进行更为准确的低碳引导具有重要意义。
该论文代表性结果如下:

Fig 2. Research framework.
Table 5 Descriptive statistics of cluster results

Table 7 Enterprises’ low carbon differences.


Fig 4. (a) The distributions of enterprises’ low-carbon degree (S) at different development levels(D); (b) The distributions of extreme S values for different enterprises.

Fig 5. (a) The estimated GEV distributions of type I, II and III; (b) The estimated LCD in different development periods.

作者简介:
巫诚诚,东南大学博士研究生,英国上市公司365汽车与交通学院讲师。主要研究方向为交通安全及新能源汽车。
